Total Syntheses of Avapyran and Dysiquinol D through a Stereoconvergent Fusion of Dihydrobenzopyran
Partha Pratim Nath and Chandan K. Jana
Org. Lett. 2025, 27, 29, 7727–7732 Article Link
Iminium and azonium-activated metal and oxidant-free C–H functionalization of aliphatic amines
Nandini Ray and Chandan K Jana
Chem. Commun., 2023, 59, 8504–8519. Article Link
Acid mediated coupling of aliphatic amines and nitrosoarenes to indoles
Subhra Kanti Roy, Anisha Purkait, SK Md Tarik Aziz and Chandan K. Jana
Chem. Commun. 2020, 56, 3167-3170. Article link
The work is highlighted in Synfacts 2020, 16, 1152
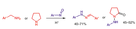
N-aminations of Benzylamines and Alicyclic Amines with Nitro-soarenes to Hydrazone and Hydrazides
Anisha Purkait and Chandan K. Jana
Synthesis, 2019, 51, 2687-2696. Article link
An invited article for the special issue “Amination Reactions in Organic Synthesis“
Direct (Het)Arylation of Tetrahydroisoquinoline via a Metal and Oxidant Free C(sp3)-H Functionalization Enabled Three Component Reaction
Surajit Haldar and Chandan K. Jana
Org. Biomol. Chem., 2019, 18, 1800-1804. Article link
An invited article for the issue New Talent
Regio-, Diastereo-selective and Enantiospecific Metal Free C(sp3)-H Arylation: A Facile Access to Optically Active 5-aryl 2,5-disubstituted Pyrrolidine
Surajit Haldar, Subhra Kanti Roy, Bholanath Maity, Debasis Koley, and Chandan K Jana
Chem. Eur. J. 2015, 21, 15290–15298. Article link
Direct β-C(sp3)-H Functionalization of Aliphatic Amines to α,β-Unsaturated Imines, Aldehydes and Chromenes
Sumana Mandal, Sujit Mahato, and Chandan K. Jana
Org. Lett., 2015, 17, 3762-3765. Article link
Diastereoselective α-C-H Functionalization of Aliphatic N-heterocycles: An Efficient Route to Ring Fused Oxazines
Sujit Mahato, Surajit Haldar and Chandan K. Jana
Chem. Commun. 2014, 50, 332 – 334.Article link
Metal and Oxidant Free Direct sp3 C-H Arylation of Pyrrolidine
Surajit Haldar, Sujit Mahato and Chandan K. Jana
Asian J. Org. Chem. 2014, 3, 44 – 47. Article link
This was listed as one of the top 20 Most Read articles from ChemPubSoc Europe, ACES, and GDCh journals in the month of December, 2013.
